當前位置:產品中心
產品中心
products center
產品中心
丙烯酸-2-丙烯酰胺-2-甲基丙磺酸共聚物 AA/AMPS

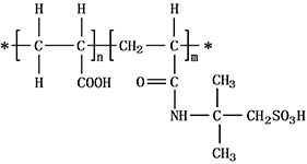
結構式:

一、性能與用途

AA/AMPS為丙烯酸與2-丙烯酰胺-2-甲基丙磺酸(AMPS)共聚而成。由于分子結構中含有阻垢分散性能好的羧酸基和強極性的磺酸基,能提高鈣容忍度,對水中的磷酸鈣、碳酸鈣、鋅垢等有顯著的阻垢作用,防止氧化鐵的沉積,尤其對磷酸鈣阻垢率高。并且分散性能優良。與有機膦復配,增效作用明顯。特別適合高pH、高堿度、高硬度的水質,是實現高濃縮倍數運行的最理想的阻垢分散劑之一。

AA/AMPS還可用作紡織印染助劑;造紙系統紙漿的阻垢劑。

二、技術指標 符合HG/T3642-1999

項目 指標
外觀 無色至淡黃色粘稠液體
固體含量% 30.0 40.0
游離單體(以丙烯酸計)% 0.5 0.8
密度(20°C)g/cm3 1.10 1.15
極限粘數(30°C)dl/g 0.055-0.100 --
pH(1%水溶液) 2.0-3.0 3.5-4.5

三、使用方法

AA/AMPS可與有機膦酸鹽、鋅鹽復合使用,適于pH條件為7.0-9.5。

四、包裝與貯存

AA/AMPS為塑料桶包裝,每桶25kg、200kg或250kg,也可根據用戶要求確定。AA/AMPS貯存期為十個月。

五、安全與防護

AA/AMPS為酸性,操作時注意勞動保護,應避免與皮膚、眼睛等接觸,接觸后用大量清水沖洗。


返回