當前位置:產品中心
產品中心
products center
產品中心
氨基三甲叉膦酸 ATMP

別名:氨基三亞甲基膦酸

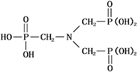
分子式:N(CH2PO3H2)3

相對分子質量:299.05

結構式:

一、性能與用途

ATMP具有良好的螯合、低限抑制及晶格畸變作用。可阻止水中成垢鹽類形成水垢,特別是碳酸鈣垢的形成。ATMP在水中化學性質穩定,不易水解。在水中濃度較高時,有良好的緩蝕效果。

ATMP用于火力發電廠、煉油廠的循環冷卻水、油田回注水系統。可以起到減少金屬設備或管路腐蝕和結垢的作用。ATMP在紡織印染等行業用作金屬離子螯合劑,也可用于金屬表面處理劑等。

ATMP固體為結晶性粉末,易溶于水,易吸潮,易于運輸和使用,尤其適用于冬季嚴寒地區。

二、技術指標

項目 指標 符合HG/T2841-2005
外觀 無色或淡黃色透明液體 白色結晶性粉末
活性組分(以ATMP計) % 50.0 50.0 95.0
氨基三甲叉膦酸含量 % -- 40.0 88.0
亞磷酸(以PO33-計) % 5.0 3.5 --
磷酸(以PO43-計) % 1.0 0.8 0.8
氯化物(以Cl-計) % 3.5 2.0 1.0
鐵(以Fe2+計)含量mg/L -- 20.0 20.0
密度(20°C)g/cm3 1.28 1.30 --
pH(1%水溶液) 1.5-2.5 1.5-2.5 2.0

三、使用方法

ATMP常與其它有機膦酸、聚羧酸或鹽等復配成有機水處理劑,用于各種不同水質條件下的循環冷卻水系統。用量以1-20mg/L為佳;作緩蝕劑使用時,用量為20-60mg/L。

四、包裝與貯存

ATMP液體用塑料桶包裝,每桶30kg或250kg;ATMP固體用內襯聚乙烯袋的塑料編織袋包裝,每袋凈重25kg,也可根據用戶需要確定。貯于室內陰涼通風處,防潮、嚴防曝曬,貯存期十個月。

五、安全防護

ATMP為酸性,操作時注意勞動保護,應避免與皮膚、眼睛等接觸,接觸后應立即用大量清水沖洗。


返回